⌚ LUNI - VINERI 9.00 - 17.00

Spirotherm Separator de aer, orizontal, 110°C, 10 bar, 1 1/4 tol, Spirotech Spirovent

Spirotherm
718,45 RON
TVA inclus
ü SPIROVENT este un separator de aer pentru instalaţiile de încălzire sau de climatizare care este folosit la eliminarea aerului dizolvat din agentul termic.

PRODUS ACHIZITIONABIL PRIN S.E.A.P.

Click pentru detalii 
In stoc

Durata de livrare: 24 - 72 ore

Limita stoc
Adauga in cos
Cod Produs: 3A01000603 Ai nevoie de ajutor? 0373.760.413
Adauga la Favorite Cere informatii Comanda rapida
  • Descriere
  • Caracteristici
  • Review-uri (0)
Separator de aer, orizontal, 110°C, 10 bar, 1 1/4", Spirotech Spirovent (art. nr. AA125)

ü SPIROVENT este un separator de aer pentru instalaţiile de încălzire sau de climatizare care este folosit la eliminarea aerului dizolvat din agentul termic.

ü Separatoarele SPIROVENT standard sunt realizate din alamă şi sunt destinate folosirii în instalaţii termice pe conducte în care viteza agentului termic este de până la 1 m/s, cu montaj pe ţevi orizontale sau verticale.
ü Gama din alamă este produsă cu diametrul racordului de la 22 mm la 2˝.

Avantaje:
• Capacitate mare de eliminare a aerului;
• Permite admisia de aer în instalaţie la golirea acesteia;
• Funcţionează în mod automat, nu necesită întreţinere;
• Durată mare de viaţă, funcţionare sigură;
• Reduce corodarea şi creşte durata de viaţă a componentelor instalaţiei;
• Pierdere de presiune dinamică foarte mică.

Specificatii tehnice:
• Montaj: orizontal;
• Inaltime: 200 mm.;
• Latime: 88 mm.;
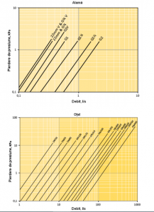
• Debit maxim: 3.6 m³/h; 1.0 l/s;
• Pierdere de presiune pentru debit maxim: 1.3 kPa.

În instalaţii, aerul este adesea cauza unor probleme de funcţionare, a unei uzuri excesive a echipamentelor sau a unor întreruperi în funcţionare acestora, probleme care pot fi evitate. După o aerisire iniţială a instalaţiei, un sistem hidraulic cum ar fi, de exemplu, o instalaţie de încălzire, conţine o cantitate mare de gaze dizolvate. În plus, aerul va continua să pătrundă în instalaţie ca urmare a intervenţiilor asupra instalaţiei sau a completărilor de agent termic datorate pierderilor. Dacă aerul dizolvat nu este eliminat sau este insuficient eliminat, se va ajunge la intervenţii repetate asupra instalaţiei (aerisiri manuale repetate, funcţionare necorespunzătoare a pompelor, consum inutil de energie). Prezenţa aerului duce, de asemenea, la coroziune şi la prezenţa în instalaţie a produselor de coroziune care vor fi prezente în agentul termic sub formă de particule în suspensie. Urmare a acestor fenomene, se va ajunge la costuri ridicate de întreţinere şi de supraveghere, la disfucţionalităţi.

Aerisitoarele convenţionale nu pot îndepărta aerul dizolvat din agentul termic; singurul mod eficace de eliminare a acestuia este folosirea unui separator de aer.

Într-un fluid, cantitatea de aer dizolvat depinde de doi factori: presiunea şi temperatura. Cu cât temperatura este mai ridicată şi presiunea mai scăzută cu atât cantitatea de aer dizolvat este mai mică. În aceste condiţii este dificil de prevăzut în ce loc al instalaţiei va apare aer. Locul unde microbulele vor fi eliberate este variabil, în funcţie de presiune şi temperatură. Din această cauză, instalaţiile de încălzire cu înălţimea mai mare de 15 m sau cele de răcite cu înălţimea de peste 5 m prezintă dificultăţi în eliminarea aerului dizolvat. În aceste situaţii se recomandă folosirea degazoarelor cu vid. Acestea realizează eliminarea aerului dizolvat prin punerea sub vid, pentru o anumită perioadă de timp, a unei anumite cantităţi de agent termic. Deci, în funcţie de temperatură şi presiune, agentul termic dintr-o instalaţie va absorbi sau va elibera anumite cantităţi de aer în diverse locuri ale instalaţiei.

Notă:
Alegerea unei conducte cu un diametru mai mare permite atingerea unui anumit debit cu ajutorul unei viteze de curgere mai mică. Acest lucru va duce la un randament superior în ceea ce priveşte eliminarea aerului din instalaţie. Separatorul de aer trebuie instalat în punctul cel mai cald al instalaţiei. În acest caz, la o instalaţie de încălzire separatorul de aer se va monta pe turul instalaţiei, imediat după cazan, iar într-o instalaţie de climatizare separatorul se montează pe returul instalaţiei, înainte de intrarea agentului termic în echipamentul de răcire.

 
Informatii conformitate produs

Dimensiune racord: 1 1/4

Tip produs: Separator de aer

Daca doresti sa iti exprimi parerea despre acest produs poti adauga un review.

Review-ul a fost trimis cu succes.

Compara produse

Trebuie sa mai adaugi cel putin un produs pentru a compara produse.

A fost adaugat la favorite!

A fost sters din favorite!